Cara Cepat Fungsi Invers

Video Tutorial Matematika Cara Cepat Belajar Fungsi Invers

Video Tutorial Matematika Cara Cepat Belajar Fungsi Invers

Woo Ow Ternyata Mudah Menentukan Invers Fungsi Pecahan Aljabar

Woo Ow Ternyata Mudah Menentukan Invers Fungsi Pecahan Aljabar

Ruangguru Bimbel Online No 1 On Twitter Hari Selasa Besok

Ruangguru Bimbel Online No 1 On Twitter Hari Selasa Besok

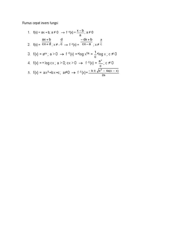
Rumus Cepat Invers Fungsi Docx

Rumus Cepat Invers Fungsi Docx

Tutorial Cara Cepat Mencari Fungsi Invers Matematika Sma Youtube

Tutorial Cara Cepat Mencari Fungsi Invers Matematika Sma Youtube

Cara Cepat Dan Praktis Menyelesaikan Invers Fungsi Youtube

Cara Cepat Dan Praktis Menyelesaikan Invers Fungsi Youtube

Cara Cepat Mencari Invers Fungsi Feriyanto X Mipa Ppt Download

Cara Cepat Mencari Invers Fungsi Feriyanto X Mipa Ppt Download